Patents
Yang, J.; Ding, Z.; Hesari, M.; Therrien, P.; Guo, Q.; Oglan, D.
High temperature sustainable Zn-Ni coating on steel substrate. 2019, Patent #: WO2019071346A1.
Peer-reviewed articles
66. Hesari, M.,*
Reductive-Oxidation Co-reactant-Induced Electrogenerated Chemiluminescence of Gold Nanocluster Isomers, ACS Electrochemistry, 2026, 2, 2, 394–400.

65. Hesari, M.*; Workentin, M.S.
On-Demand Photochemical Modification of Glassy Carbon Surface, Electroanalysis, 2024, 37, e12004.

64. de Jong, J.A.; Workenton, M.S.; Hesari, M*.
Charge State Tuning and Photochemical Stability of Au25(SR)18Nanoclusters. ChemPhotochem, 2024, 9, e202400236.

63. Stöckli, A.H., de Jong, J.A., Vega Verduga, C., Vogeler, N.H., Hesari, M., Boyle, P.D., Corrigan, J.F.,* Workentin, M.S.*
Ag20 nanoclusters with surface azides as an easily functionalized platform for diverse applications. Small, 2024,20, 2405727.

62. Hesari, M.; Jia, R.; Wu, S., Mirkin, M.V.*
Cobalt- H3BTC metal organic framework based electrochemical nanosensor for hydrogen peroxide. J. Eletrochem. Soc., 2023, 170, 106503.

61. Askarova, G., Hesari, M., Barman, K., Mirkin, M.V.*
Visualizing overall water splitting on single microcrystals of phosphorus-doped BiVO4 by photo-SECM. ACS Appl. Mater. Interfaces, 2023, 15, 47168.

Before SUNY-Oswego
60. Adsetts, J. R.; Chu, K.; Hesari, M.; Whitworth, Z.; Qin, X.; Zhan, Z.; Ding, Z.*
Absolute electrochemiluminescence quantum efficiency of Au nanoclusters by means of a spectroscopy charge-coupled device camera. J. Phys. Chem. C., 2022, 126, 20155.

59. Yang, L.; Dong, L.; Hall, D.; Hesari, M.; Olivier, Y.; Zysman-Colman, E.; Ding, Z.* Insights into enhanced electrochemiluminescence of a multi-resonance TADF molecule. SmartMat,, 2022, 4, e1149. .

58. Hesari, M.; Jia, R.; Mirkin, M.V.*
Metal organic framework (MOF) based electrochemical nanosensor for hydrogen peroxide. ChemElectroChem., 2022, 13, e202200373.
This paper also aprears in Hot topic: Carbon, Graphite and Graphene.

57. Askarova, G.; Hesari, M.; Wang, C.; Mirkin, M.V.*
Decoupling through-tip Illumination from scanning in nanoscale photo-SECM. Anal. Chem., 2022, 94, 20, 7169–7173.
56. Hesari, M.*; Ding, Z.*
Identifying highly photoelectrochemical active sites of Two Au21 nanocluster isomers toward bright near-Infrared electrochemiluminescence. J. Am. Chem. Soc., 2021, 143, 19474.

55. Hesari, M; Ma, H., Ding. Z.*
Monitoring single Au38 nanocluster reactions via electrochemiluminescence. Chem. Sci., 2021, 12, 14540.

54. Hesari, M*; Ding. Z.*
Efficient near-infrared electrochemiluminecnce from Au18 eanoclusters, Chem. Eur. J., 2021, 25, 14821 (VIP artilce).


53. Chu, K.; Adsetts, JA; Ma, J,; Zhang, Z.; Hesari, M.; Yang, L.; Ding, Z.*
Physical strategy to determine absolute electrochemiluminescence quantum efficiencies of coreactant systems using a photon-counting photomultiplier Device. J. Phys. Chem. C, 2021, 125, 22274.

52. Adsetts, JA; Chu, K.; Hesari, M.; Ma, J.; Ding, Z.*
Absolute electrochemiluminescence efficiency quantification strategy exemplified with Ru(bpy)32+ in annihilation pathway. Anal. Chem., 2021, 93, 11626.

51. Hesari, M.*; Ding, Z.*
Spooling electrochemiluminescence spectroscopy: development, applications and beyond. Nat. Protoc., 2021, 16, 2109.

49. Sarkar, S.; Wang, X.; Hesari, M.; Chen, P.; Mirkin, M.*
Scanning electrochemical and photo-electrochemical microscopy on finder grids: toward correlative multi-technique imaging of surfaces. Anal. Chem., 2021, 93, 5377-5382.

50. Hesari, M.*; Ding, Z.*
A perspective on application of carbon quantum dots in luminescence immunoassays. Front. Chem., 2020, 8, 580033. (invited)

48. Mao, X.; Liu, C.; Hesari, M.; Zou, N.; Chen, P.*
Super-resolution imaging of non-fluorescent reactions via competition. Nat. Chem., 2019, 11, 687.

- Featured on the front cover of Nature Chemistry.
Featured in Cornell Chronicle: “New imaging method aids in water decontamination”.
Featured in Chem. Eng. News: “Extending fluorescence microscopy to nonfluorescent reactions”.
Featured in Microscopy and Analysis Editorial: “Breakthrough imaging of non-fluorescent reactions”.
Featured in Photonics Media: “Superresolution Imaging Method Aids in Water Decontamination”.
Featured in Dutch News platform [C2w]: “Minder zien, meer weten”.
Other news highlight: EurekAlert!, Phys.org, Nanowerk, Newswise, ScienceDaily, Environmental News Network, Azooptics, Science360 News, Sohu News China, Laser Focus World Japan, etc.
47. Sambur, JB.*; Shepherd, D.; Hesari, M.; Van Erdewyk, M.; Choudhary, E.; Chen, P.* Correlated single-molecule reaction imaging and photocurrent measurements reveal underlying rate processes in photoelectrochemical water splitting. J. Electrochem. Soc., 2019, 166, 5, H3286.

46. Hesari, M.; Sambur, JB.; Mao, X.; Jung, W.; Chen, P.*
Quantifying photocurrent loss of a single particle-particle interface in nanostructured photoelectrode. Nano Lett., 2019,19, 958.

- Featured in Cornell Chronicle: “A first: Cornell researchers quantify photocurrent loss in particle interface” (http://news.cornell.edu/stories/2019/01/first-cornell-researchers-quantify-photocurrent-loss-particle-interface)
45. Hesari, M.; Mao, X.; Chen. P.*
Charge carrier activity on single-particle photo(electro)catalysis: towards function in solar energy conversion. J. Am. Chem. Soc., 2018, 140, 6729. (invited)

- Featured in JACS spotlights: “Photo(electro)catalysts, ready for their extreme close-up” J. Am. Chem. Soc. 2018, 140, 6727. (https://pubs.acs.org/doi/10.1021/jacs.8b05504)
44. Hesari, M.; Barbon, SB.; Staroverov, VN.; Ding, Z.*; Gilroy J.B.*
Structural tuning of formazan electrogenerated chemiluminescence meditated by tri-n-propylamine. J. Phys. Chem. C, 2018, 122, 1258.

43. Hesari, M.; Ding, Z.*
A Grand avenue to Au nanocluster electrochemiluminescence. Acc. Chem. Res., 2017, 50, 218. (Post-doc work)

42. Hesari, M.; Turnbull, J.; Khadka, CB.; Corrigan, JF*; and Ding, Z.*
Enhancing electrochemiluminescence of chalcogenide clusters by means of Mn doping. Electrochemica Acta, 2016, 210, 79.

41. Nematollahi, D.*; Hesari, H.; Salehzadeh, H.; Hesari, M.; Momeni, S. Electrochemical synthesis of new organic compounds based on the oxidation of 1,4-dihydroxybenzene derivatives in the presence of primary and secondary amines. Comptes Rendus Chimie,2016, 19, 357. (Post-doc work)

40. Hesari, M.; Ding, Z.*
Electrogenerated chemiluminescence: Light years ahead. J. Electrochem. Soc., 2016, 163, H3116.

39. Hesari, M.; Swanick, KN.; Lu, J-S.; Whyte, R.; Wang, S.*; Ding, Z.*
Highly stable dual-color electrogenerated chemiluminescence from BODIPY-capped PbS nanocrystals. J. Am. Chem. Soc., 2015, 137, 11266.

38. Hesari, M.; Barbon, SB.; Staroverov, VN.; Ding, Z.*; Gilroy JB.*
Efficient electrochemiluminescence of a readily accessible boron difluoride formazan dye. Chem. Commun., 2015, 51, 3766.

37. Hesari, M.; Workentin, MS.*
Covalent modification of graphene and microdiamond with redox active substrates via photogenerated carbene. Carbon, 2015, 85, 159.

36. Hesari, M.; Lu, J-S.; Wang, S.*; Ding, Z.*
Efficient electrochemiluminescence of a boron-dipyrromethene dye. Chem. Commun., 2015, 51, 1081.

35. Hesari, M.; Workentin, MS.*; Ding, Z.*
Highly efficient electrogenerated chemiluminescence of Au38 nanoclusters. ACS Nano, 2014, 8, 8543.

34. Hesari, M.; Ding, Z.*; Workentin, MS.*
Electrogenerated chemiluminescence of Au144(SC2H4Ph)60 clusters. Organometallics, 2014, 33, 4888.

33. Hesari, M.; Workentin, MS.*; Ding, Z.*
NIR electrochemiluminescence from Au25− nanoclusters facilitated by highly oxidizing and reducing co-reactant radicals. Chem. Sci., 2014, 5, 3814.

32. Hesari, M.; Workentin, MS.*; Ding, Z.*
Near infrared electrochemiluminecsence Au25(SC2H4Ph)18+ clusters mediated by tri-n-propyl amine. RSC Adv., 2014, 4, 29559.

31. Hesari, M.; Workentin, MS.*; Ding, Z.*
Thermodynamic and kinetic origins of Au250 nanocluster electrochemiluminescence. Chem.Eur. J., 2014, 20, 15116.

30. Hesari, M.*; Workentin, MS.*
Facile synthesis of Au23(SC(CH3)3)16 clusters. J. Mater. Chem. C, 2014, 2, 3631.

29. Fard, MA.; Khalili Najafabadi, B.; Hesari, M.; Workentin, MS.*; Corrigan, J.F.*
New polydentate trimethylsilyl chalcogenide reagents for the assembly of polyferrocenyl architectures. Chem. Eur. J., 2014, 20, 7037.

28. Bauld, R.; Hesari, M.; Workentin, M.S.; Fanchini, G.*
Tessellated gold nanostructures from Au144(SCH2CH2Ph)60 molecular precursors and their use in organic solar cell enhancement. Nanoscale, 2014, 6, 7570.

27. Venter, A.; Hesari, M.; Ahmed, M.; Bauld, R.; Workentin, MS.; Fanchini, G.*
Facile nucleation of gold nanoparticles on graphene-based thin films from Au144 molecular precursors. Nanotechnology, 2014, 25, 135601.

26. Das, S.; Goswami, A.; Hesari, M.; Maran, F.*; Asefa, T.*
Reductive deprotection of monolayer protected nanoclusters: an efficient route to supported ultrasmall Au nanocatalysts for selective oxidation. Small, 2014, 10, 1473.

25. Snell, K.; Johnston, M.; Ismaili, H.; Hesari, M.; Workentin, MS.*
Interfacial ketene via the photo wolff rearrangement for the modification of monolayer protected gold nanoparticles. J. Phys. Org. Chem., 2013, 26, 601.

24. Khadka, CB.; Khalili Najafabadi, B.; Hesari, M.; Workentin, MS.*; Corrigan, JF.* Copper-chalcogenide clusters stabilized with ferrocene based diphosphine ligands. Inorg. Chem., 2013, 52, 6798.

23. Guterman, R.; Hesari, M.; Workentin, MS.*; Ragogna, P.J.*
Harnessing the solution properties of Au25 in the solid state: exploiting the ion exchange chemistry of a novel photocurable phosphonium support. Langmuir, 2013, 29, 6460.

22. Akbari-Sharbaf, A.; Hesari, M.; Workentin, MS.; Fanchini, G.*
Electron paramagnetic resonance in positively charged Au25 molecular nanoclusters. J. Chem. Phys., 2013, 138, 024305.

21. Bauld, R.; Hesari, M.; Workentin, MS.; Fanchini, G.*
Thermal stability of Au25 molecular precursors and nucleation of gold nanoparticles in thermosetting polyimide thin films. App. Phys. Lett., 2012, 101, 243114.
20. Gobbo, P.; Ghiassian, S.; Hesari, M.; Stamplecoskie, KG.; Kazemi-Zanjani, N.; Lagugne-Labarthet, F.; Workentin, M.S.*
Electrochemistry of robust gold nanoparticle-glassy carbon hybrids generated using a patternable photochemical approach. J. Mater.Chem., 2012, 22, 23971.

19. Antonello, S.; Hesari, M.; Polo, F.; Maran, F.*
Electron transfer catalysis with monolayer protected Au25 clusters. Nanoscale, 2012, 4, 5333.

18. Swanick, KN; Hesari, M.; Workentin, MS.; Ding, Z.*
Interrogating near-infrared electrogenerated chemiluminescence of Au25(SC2H4Ph)18+ clusters. J. Am. Chem. Soc., 2012,134, 15205.

17. Khalili Najafabadi, B.; Hesari, M.; Workentin, MS.; Corrigan, JF.*
New ferrocene based dithiolate ligands. J. Organometallic Chem., 2012, 703,16.

16. Nematollahi, D.*; Azizian, J.; Sargordan-Arani, M.; Hesari, M.; Mirza, B.J.
A facile method for the synthesis of thiocoumestan derivatives. Hetrocyclic Chem., 2009, 56, 1000.

15. Nematollahi, D.*; Azizian, J.; Sargordan-Arani, M.; Hesari, M.; Jameh-Bozorgi, S.; Alizadeh, A.; Fotouhi, L.; Mirza, B
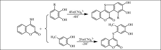
Electrochemical synthesis of 4-(Dihydroxyphenylthio) 2H-chromen-2-one derivatives. Chem. Pharm. Bull., 2008, 56, 1562.
14. Esna-Ashari, M.*; Gholami, M.; Zolfigol, M. A.; Shiri, M.; Mahmoodi pour, A.; Hesari, M.
Analysis of trans-resveratrol in Iranian grape cultivars by LC. Chromatographia, 2008, 67, 1017.
13. Hesari, M.; Nematollahi, D.*; Fotohi, L.
Electrochemical synthesis and study of coordinated compounds. Part 1: Tin (II) catechol complexes. J. Coord. Chem., 2008, 61,1744.
12. Mahmoodi pour A.*; Esna-Ashari, M.; Gholami, M.; Karami, O.; Hesari, M.
Extraction and quantitative analysis of resveratrol in leaf and fruit of two iranian grapes (vitis vinifrea l.) cultivate. Agricultural Res. (Water, Soil& Plant in Agriculture), 2008, 6, 580.
11. Alizadeh, A.*; Nematollahi, D.; Habibi, D.; Hesari, M.
Domino oxidation/Michael addition reaction of catechols with barbituric acid derivatives as an efficient one-pot entry to fused pyrimidinones. Synthesis, 2007, 10, 1513.
10. Nematollahi, D.*; Afkhami, A.; Shariatmanesh, T.; Tammari, E.; Hesari, M.; Shojaeifard, M.
An efficient electrochemical synthesis of diamino-o-benzoquinone: mechanistic and kinetic evaluation of the reaction of azide ion with o-benzoquinones. Chem. Commun.,2007, 162.

9. Nematollahi, D.*; Hesari, M.; Davarani, SS.
Electro-organic synthesis of dibenzylamino dioxocyclohexacarboxylic acids. Arkivoc, 2006, 10, 129.
8. Habibi, D.*; Nematollahi, D.; Alizadeh, A.; Hesari, M.
Oxidative coupling of in-situ generated o-benzoquinones with 4-hydroxy-6-methyl-2-pyrone. Heterocyclic Commun., 2005, 11, 145.
7. Nematollahi, D.*; Habibi, D.; Alizadeh, A.; Hesari, M.
An efficient conversion of catechols into 6H-benzofuro [3, 2-c][1] benzopyran-6-one derivatives. J. Heterocyclic Chem., 2005, 42, 289.
6. Nematollahi, D.*; Hesari, M.
Electrochemical synthesis of new amino substituted 1,2- benzoquinone derivatives. J. Electroanal.Chem., 2005, 577, 197.
5. Nematollahi, D.*; Hesari, M.; Allahyari, M.
Electrochemical oxidation of bromide in the presence of benzensulfinic acid. Application to potentiometric titration of benzensulfinic acid. Bull. Electrochem., 2004, 20, 149.
4. Nematollahi, D.*; Hamzehloei, A.; Hesari, M.; Rahimi, J.
Electrooxidation of iodide in the presence of 4-hydroxycoumarin. Application to simple coulometric titration of 4- hydroxycoumarin. J. Anal. Sci., 2003, 19, 937.
3. Nematollahi, D.*; Rahimi, J.; Hesari, M.; Hamzehloei, A.
Electrooxidation of iodide in the presence of 2-thiobarbituric acid-catalytic determination of 2-thiobarbituric acid. Iran. J. Chem.&Chem. Eng., 2001, 20, 90.
2. Nematollahi, D.*; Hesari, M.
Electrochemical study of iodide in the presence of barbituric acid. Application to the catalytic determination of barbituric acid. J. Anal. Chem., 2001, 56, 1109.
1. Nematollahi, D.; Hesari, M.
Electrochemical study of iodide in the presence of barbituric acid. Application to coulometric titration of barbituric acid. Microchemical J., 2001, 70, 7.